y80000ÓÀÀûÆåÅÆ(Öйú)ÓÐÏÞ¹«Ë¾¹ÙÍø

ЧÀÍÈÈÏߣº024-24228366

Àο¿Ê½¿ÕÆøÑ¹Ëõ»ú¼ì²â¹ûÕæÐ§ÀÍ

ЧÀÍÌõ¼þ

ίÍз½¼ì²â×°±¸ÐèÄÜÕý³£ÔËÐУ¬ £¬£¬£¬£¬£¬£¬£¬ËùʹÓÃµÄ¿ÕÆøÑ¹Ëõ»úÊÖÒÕ×ÊÁÏÉúÑÄÍêÕû£¬ £¬£¬£¬£¬£¬£¬£¬Ð¹ºÖÃ×°ÖÃµÄ¿ÕÆøÑ¹Ëõ»úÓ¦¾ßÓпóÓòúÆ·Çå¾²±ê¼Ç¡£¡£¡£¡£¡£¡£¡£¡£

 

Á÷³Ì

1¡¢ÒÀ¾Ý

AQ2055-2016¡¶½ðÊô·Ç½ðÊô¿óɽÔÚÓÃ¿ÕÆøÑ¹Ëõ»úÇ徲ĥÁ·¹æ·¶ µÚ1²¿·Ö£ºÀο¿Ê½¿ÕÆøÑ¹Ëõ»ú¡·

2  Ö°Ôð

2.1  ¼ì²âÔ±ÑϿᰴ±ê×¼»®¶¨¶ÔÔÚÓÃ×°±¸¾ÙÐмì²â£¬ £¬£¬£¬£¬£¬£¬£¬ÖÒʵ¼Í¼¼ì²âÊý¾Ý£¬ £¬£¬£¬£¬£¬£¬£¬È·±£Ô­Ê¼¼Í¼׼ȷ£¬ £¬£¬£¬£¬£¬£¬£¬È»ºóƾ֤¼ì²â¼Í¼³ö¾ßÄ¥Á·±¨¸æ¡£¡£¡£¡£¡£¡£¡£¡£

2.2  ÖÊÁ¿¼àÊÓÔ±¶Ô¼ì²âÊÂÇé¾ÙÐмàÊÓ£¬ £¬£¬£¬£¬£¬£¬£¬°ü¹ÜЧ¹û׼ȷ¡£¡£¡£¡£¡£¡£¡£¡£

2.3  ¼ì²âÊÒÖ÷ÈζԱ¨¸æºÍ¼ì²â¼Í¼¾ÙÐк˲飬 £¬£¬£¬£¬£¬£¬£¬È·ÈϺóÇ©×Ö¡£¡£¡£¡£¡£¡£¡£¡£

3  ÒÇÆ÷×°±¸

¿Õѹ»ú×ۺϲÎÊý²âÊÔÒÇ¡¢Æô³ÝÉÁµã²â¶¨Æ÷¡¢Êý×ÖתËÙ±í¡¢µç×ÓÃë±í¡¢Éù¼¶¼Æ¡¢Õñ¶¯ÕÉÁ¿ÒÇ¡£¡£¡£¡£¡£¡£¡£¡£

4  ¼ì²âÏîÄ¿

ƾ֤±ê×¼»®¶¨¾ÙÐмì²â£¬ £¬£¬£¬£¬£¬£¬£¬Ïêϸ×ñÕÕÌõ¿î¼ûÏÂ±í£º

ÐòºÅ

Ä¥Á·ÏîÄ¿

ÊÖÒÕÒªÇó

ÏîÄ¿ÀàÐÍ

¼ìÑéÒªÁì

1

°²×°ÇéÐÎ

5.1.1

C

6.1

 

2

Çå¾²·À»¤

5.1.2

C

3

Ïû·À²½·¥

5.1.3

C

4

Öµ°à»ú·¿ÔëÉù

5.1.4

C

5

Èó»¬ÓÍÉÁµã

5.2.1

B

6.2.1

6

Èó»¬ÏµÍ³ÃÜ·â

5.2.2

C

6.2.2

7

Èó»¬ÓÍѹÁ¦±í

5.2.3

B

8

Èó»¬ÓÍǷѹ±£»£»£»£»£»£»¤×°ÖÃ

5.2.4

A

6.2.3

9

Èó»¬Óͳ¬Î±£»£»£»£»£»£»¤×°ÖÃ

5.2.5

A

6.2.4

10

Àäȴϵͳ

5.3.1

A

6.3.1

11

ÀäÈ´Æ÷

5.3.2

C

6.3.2

12

´¢Æø¹ÞÇå¾²×°ÖÃ

5.4.1

A

6.4.1

13

×èÖ¹·§¼°´¢Æø¹ÞѹÁ¦ÊÍ·Å×°ÖÃ

5.4.2

C

14

´¢Æø¹ÞѹÁ¦Ö¸Ê¾ÒDZí

5.4.3

B

15

Ö¹»Ø·§

5.4.4

B

16

·Å¿Õ¹Ü

5.4.5

C

17

´¢Æø¹ÞζÈ

5.4.6

A

6.4.2

18

ϵͳѹÁ¦Ö¸Ê¾ÒDZí

5.5.1

B

6.5.1

19

ÅÅÆøÑ¹Á¦

5.5.2.1

B

6.5.2

20

ÅÅÆøÑ¹Á¦¿ØÖÆ

5.5.2.2

B

21

³ö¿ÚÇå¾²·§

5.5.2.3

B

22

Ä©¼¶³ö¿ÚµÄÇå¾²·§

5.5.2.4

B

6.5.2

23

ÅÅÆø³¬Î±£»£»£»£»£»£»¤×°ÖÃ

5.5.3

A

6.5.3

24

ÇúÖáÏäÓÍÎÂ

5.6

A

6.6

25

Í£³µ¸´Î»

5.7

A

6.7

26

ÔËת״̬

5.8

C

6.8

27

Õñ¶¯

5.9

B

6.9

28

תËÙ

5.10

C

6.10

29

ÈÝ»ýÁ÷Á¿

5.11

C

6.11

30

ÊäÈë±È¹¦ÂÊ

5.12

C

6.12

31

ÊäÈëµçÁ÷

5.13

A

6.13

5  ¼ì²âÒªÁì

5.1»ú·¿»òÐgÊÒ

½ÓÄÉÄ¿²â·½·¨£¬ £¬£¬£¬£¬£¬£¬£¬¼ì²é¿ÕÆøÑ¹Ëõ»úµÄ×°ÖÃλÖᢷÀ»¤×°Öá¢Ïû·ÀÆ÷²ÄµÈÊÇ·ñÇкϱê×¼ÒªÇ󡣡£¡£¡£¡£¡£¡£¡£½ÓÄÉÇкÏGB/T 3785.1»®¶¨µÄ2¼¶Éù¼¶¼Æ£¬ £¬£¬£¬£¬£¬£¬£¬ÕÉÁ¿Öµ°à»ú·¿ÄÚÖ°Ô±ÊÂÇéλÖô¦ÔëÉù£¬ £¬£¬£¬£¬£¬£¬£¬È¡3´ÎÕÉÁ¿Ð§¹ûµÄËãÊõƽ¾ùÖµ×÷ΪĥÁ·Ð§¹û¡£¡£¡£¡£¡£¡£¡£¡£

5.2 Èó»¬ÏµÍ³

1¡¢¼ì²éÊܼ쵥λÌṩµÄÈó»¬ÓÍÉÁµãµÄÓÐÓÃ֤ʵ»òÖ±½Ó¾ÙÐÐÄ¥Á·,Ó¦Çкϱê×¼5.2.1µÄÒªÇ󡣡£¡£¡£¡£¡£¡£¡£

2¡¢ ½ÓÄÉÄ¿²â·½·¨Ä¥Á·5 .2.2- 5 .2. 3»®¶¨µÄÄ¥Á·ÄÚÈÝ¡£¡£¡£¡£¡£¡£¡£¡£

3¡¢ÔÚ±»Ä¥Á·×°±¸ÉÏÈËÎªÖÆÔìÄ£Äâ¹ÊÕϵÄÌõ¼þÏ£¬ £¬£¬£¬£¬£¬£¬£¬Ä¥Á·Èó»¬ÓÍ

ѹÁ¦µÍÓÚ»®¶¨ÖµÊ±Í£³µ±£»£»£»£»£»£»¤×°ÖûòÐÅ ºÅÏÔʾ£¨±¨¾¯£©×°ÖõÄѸËÙÐÔ£¬ £¬£¬£¬£¬£¬£¬£¬Ó¦Ä¥Á·3´Î£¬ £¬£¬£¬£¬£¬£¬£¬Ã¿´ÎÐж¯¾ùӦ׼ȷ£¬ £¬£¬£¬£¬£¬£¬£¬Ó¦Çкϱê×¼5 .2.4µÄÒªÇ󡣡£¡£¡£¡£¡£¡£¡£

4¡¢ÔÚ±»Ä¥Á·×°±¸ÉÏÈËÎªÖÆÔìÄ£Äâ¹ÊÕϵÄÌõ¼þÏ£¬ £¬£¬£¬£¬£¬£¬£¬Ä¥Á·Èó»¬Óͳ¬ÎÂÍ£³µ±£»£»£»£»£»£»¤×°ÖÃÊÇ·ñÓÐÓ㬠£¬£¬£¬£¬£¬£¬£¬Ó¦Ä¥Á· 3´Î£¬ £¬£¬£¬£¬£¬£¬£¬Ã¿´ÎÐж¯¾ùӦ׼ȷ£¬ £¬£¬£¬£¬£¬£¬£¬Ó¦ÇкÏ5 .2. 5µÄÒªÇ󡣡£¡£¡£¡£¡£¡£¡£

5.3Àäȴϵͳ

1¡¢¶ÔË®Àäʽ¿ÕÆøÑ¹Ëõ»ú£¬ £¬£¬£¬£¬£¬£¬£¬ÓÃ׼ȷ¶È²»ÁÓÓÚÊ¿1 4µÄµãμƻò½Ó´¥Ê½ÕÉÁ¿ÒÇÆ÷ÕÉÁ¿ÀäÈ´Ë®³öˮΠ¶È¡£¡£¡£¡£¡£¡£¡£¡£¹Ø±ÕÀäÈ´Ë®½øË®»òÔÚÈËÎªÖÆÔìÄ£Äâ¹ÊÕϵÄÌõ¼þÏ£¬ £¬£¬£¬£¬£¬£¬£¬¿ÕÆøÑ¹Ëõ»úÓ¦ÄÜʵʱͣ³µ£¬ £¬£¬£¬£¬£¬£¬£¬Ó¦Ä¥Á·3´Î£¬ £¬£¬£¬£¬£¬£¬£¬Ã¿´Î¶¯ ×÷¾ùӦ׼ȷ¡£¡£¡£¡£¡£¡£¡£¡£¶Ô·çÀäʽ¿ÕÆøÑ¹Ëõ»ú£¬ £¬£¬£¬£¬£¬£¬£¬Ä¿²â¼ì²é·çÀäϵͳÊÂÇéÇéÐΡ£¡£¡£¡£¡£¡£¡£¡£Ó¦ÇкÏ5 .3.1µÄÒªÇ󡣡£¡£¡£¡£¡£¡£¡£

2¡¢Ä¿²â¼ì²é»îÈûʽ¿ÕÆøÑ¹Ëõ»úµÄÄ©¼¶ÅÅÆø¿ÚÊÇ·ñ×°ÖÃÓÐÀäÈ´Æ÷£¬ £¬£¬£¬£¬£¬£¬£¬ÀäÈ´Æ÷³ö¿ÚÊÇ·ñ×°ÖÃÇå¾²·§£¬ £¬£¬£¬£¬£¬£¬£¬Ó¦ Çкϱê×¼5 . 3. 2µÄÒªÇ󡣡£¡£¡£¡£¡£¡£¡£

5.4  ´¢Æø¹Þ

1¡¢½ÓÄÉÄ¿²â·½·¨Ä¥Á·±ê×¼5.4.1¡¢5.4.3¡¢5.4.4¡¢5.4.5»®¶¨µÄÄ¥Á·ÄÚÈÝ£¬ £¬£¬£¬£¬£¬£¬£¬½ÓÄÉͨÀý³¤¶ÈÒÇÆ÷ÕÉÁ¿±ê×¼5.4.2 »®¶¨µÄѹÁ¦ÊÍ·Å×°ÖúÍÅÅÆø¹ÜµÄ¹Ü¾¶£¬ £¬£¬£¬£¬£¬£¬£¬ÊÍѹװÖõÄÊÍ·ÅѹÁ¦¿ÉÒÀ¾ÝÃúÅÆ»òÆäËûÏà¹Ø×ÊÁÏÈ·¶¨¡£¡£¡£¡£¡£¡£¡£¡£

2¡¢ÓÃ׼ȷ¶È²»ÁÓÓÚÊ¿14µÄζÈÕÉÁ¿ÒDZíÕÉÁ¿´¢Æø¹ÞÄÚζÈ£¬ £¬£¬£¬£¬£¬£¬£¬µ±ÎÞ·¨Ö±½ÓÕÉÁ¿´¢Æø¹ÞÄÚζÈʱ£¬ £¬£¬£¬£¬£¬£¬£¬¿É ÕÉÁ¿´¢Æø¹Þ½ðÊôÍâ±íζÈ×÷Ϊ´¢Æø¹ÞÄÚζȡ£¡£¡£¡£¡£¡£¡£¡£ÔÚ±»Ä¥Á·×°±¸ÉÏÈËÎªÖÆÔìÄ£Äâ¹ÊÕϵÄÌõ¼þÏ£¬ £¬£¬£¬£¬£¬£¬£¬Ä¥Á·³¬Î ±£»£»£»£»£»£»¤×°Öúͱ¨¾¯×°ÖÃÊÇ·ñÓÐÓÃ,ӦĥÁ·3´Î£¬ £¬£¬£¬£¬£¬£¬£¬Ã¿´ÎÐж¯¾ùӦ׼ȷ£¬ £¬£¬£¬£¬£¬£¬£¬Ó¦Çкϱê×¼5.4.6µÄÒªÇ󡣡£¡£¡£¡£¡£¡£¡£

5.5 ϵͳ±£»£»£»£»£»£»¤ÒªÇó

1¡¢½ÓÄÉÄ¿²â·½·¨Ä¥Á·±ê×¼5.5.1»®¶¨µÄÄ¥Á·ÄÚÈÝ¡£¡£¡£¡£¡£¡£¡£¡£

2¡¢µ÷½â¿ÕÆøÑ¹Ëõ»úµÄÊä³öÅÅÆøÑ¹Á¦»òÈÝ»ýÁ÷Á¿£¬ £¬£¬£¬£¬£¬£¬£¬ÓÃ׼ȷ¶È²»ÁÓÓÚÊ¿1.6%µÄѹÁ¦ÕÉÁ¿ÒÇÆ÷£¬ £¬£¬£¬£¬£¬£¬£¬Ä¥Á·Êä³öÅÅÆøÑ¹Á¦£¬ £¬£¬£¬£¬£¬£¬£¬Ó¦ÇкÏ5. 5.2.1µÄÒªÇó£¬ £¬£¬£¬£¬£¬£¬£¬5.5.2»®¶¨µÄÆäËûÒªÇó½ÓÄÉÄ¿²â·½·¨¾ÙÐÐÄ¥Á·¡£¡£¡£¡£¡£¡£¡£¡£

3¡¢ÔÚ±»Ä¥Á·×°±¸ÉÏÈËÎªÖÆÔìÄ£Äâ¹ÊÕϵÄÌõ¼þÏ£¬ £¬£¬£¬£¬£¬£¬£¬Ä¥Á·ÅÅÆø³¬Î±£»£»£»£»£»£»¤ºÍ±¨¾¯×°ÖõÄѸËÙÐÔ£¬ £¬£¬£¬£¬£¬£¬£¬Ó¦Ä¥Á· 3´Î£¬ £¬£¬£¬£¬£¬£¬£¬Ã¿´ÎÐж¯¾ùӦ׼ȷ£¬ £¬£¬£¬£¬£¬£¬£¬Ó¦Çкϱê×¼5.5.3µÄÒªÇ󡣡£¡£¡£¡£¡£¡£¡£¹ØÓÚÖ»ÄÜÓÉÖÆÔ쵥λÉ趨±£»£»£»£»£»£»¤ºÍ±¨¾¯²ÎÊýµÄ¿ÕÆøÑ¹Ëõ»ú£¬ £¬£¬£¬£¬£¬£¬£¬Ó¦Ä¥Á·ÆäÉ趨µÄ±£»£»£»£»£»£»¤ºÍ±¨¾¯²ÎÊý£¬ £¬£¬£¬£¬£¬£¬£¬¿ÉÄÜʱҲӦ°´ÉÏÊöÒªÇó¾ÙÐÐÑéÖ¤ÊÔÑé¡£¡£¡£¡£¡£¡£¡£¡£

5.6 ÇúÖáÏäÓÍÎÂ

ÓÃ׼ȷ¶È²»ÁÓÓÚÊ¿ 1¡æµÄµãμƻòÆäËûÓÐÓÃζÈÕÉÁ¿ÒÇÆ÷ÕÉÁ¿ÇúÖáÏäÄÚµÄÈó»¬ÓÍζÈ£¬ £¬£¬£¬£¬£¬£¬£¬Ó¦Çкϱê×¼5.6µÄÒªÇ󡣡£¡£¡£¡£¡£¡£¡£µ±ÄÑÒÔÕÉÁ¿ÇúÖáÏäÄÚµÄÈó»¬ÓÍζÈʱ£¬ £¬£¬£¬£¬£¬£¬£¬Ò²¿Éͨ¹ýÕÉÁ¿ÇúÖáÏäµÄÍâòζÈ£¬ £¬£¬£¬£¬£¬£¬£¬È¡×î´óÖµ×÷ΪÇúÖáÏä ÓÍÎÂÄ¥Á·Ð§¹û¡£¡£¡£¡£¡£¡£¡£¡£

5.7Í£³µ¸´Î»

ÔÚ¶Ô±ê×¼5.5ËùÒªÇóµÄ¸÷±£»£»£»£»£»£»¤×°ÖõĹ¦Ð§ÓÐÓÃÐÔ¾ÙÐÐÄ¥Á·Ê±£¬ £¬£¬£¬£¬£¬£¬£¬Í¬Ê±Ä¥Á·Í£³µ¸´Î»¹¦Ð§£¬ £¬£¬£¬£¬£¬£¬£¬Ó¦Çкϱê×¼5.7µÄÒªÇ󡣡£¡£¡£¡£¡£¡£¡£

5.8ÔËת״̬

ÔÚËùÓÐÏîĿĥÁ·Ê±´ú£¬ £¬£¬£¬£¬£¬£¬£¬ÊÓ²ì¿ÕÆøÑ¹Ëõ»úÔËÐÐʱ,¸÷Ô˶¯²¿¼þ¼°ÆäËû²¿Î»ÊÇ·ñ±£´æÒì³£ÏìÉùºÍÕñ¶¯, Ó¦Çкϱê×¼5 .8µÄÒªÇ󡣡£¡£¡£¡£¡£¡£¡£

5.9 Õñ¶¯

½ÓÄɾ«¶È²»µÍÓÚ5 %£¨Êý×ÖÏÔʾÒDZíµÄ¾«¶ÈÓ¦²»µÍÓÚ5 %Ê¿ 5¸ö×Ö£©µÄÕÉÁ¿ÒÇÆ÷£¬ £¬£¬£¬£¬£¬£¬£¬Æ¾Ö¤GB/T 7777 µÄ»®¶¨¾ÙÐÐÄ¥Á·ºÍÆÀ¼Û,Ó¦ÇкÏ5 .9µÄÒªÇ󡣡£¡£¡£¡£¡£¡£¡£

5.10תËÙ

¿ÕÆøÑ¹Ëõ»úµÄתËÙÓ¦ÓÃ׼ȷ¶È²»´óÓÚÊ¿ 0.2%»òÊ¿2 r/minµÄתËÙÕÉÁ¿ÒÇÆ÷¾ÙÐÐÄ¥Á·£¬ £¬£¬£¬£¬£¬£¬£¬ÔÚÄ¥Á·Ê±, Ó¦ÒÔԼĪÏàµÈµÄʱ¼ä¾àÀë¶Á³ö²»ÉÙÓÚ3´ÎµÄתËÙÖµ£¬ £¬£¬£¬£¬£¬£¬£¬ÅÌËãÆäƽ¾ùתËÙ×÷ΪĥÁ·Ð§¹û£¬ £¬£¬£¬£¬£¬£¬£¬Ó¦Çкϱê×¼5.10µÄÒªÇ󡣡£¡£¡£¡£¡£¡£¡£

5.11ÈÝ»ýÁ÷Á¿

1 ¡¢Ä¥Á·ÒªÁì

±ê׼״̬ϵÄÈÝ»ýÁ÷Á¿¿É°´ÏÂÁÐÒªÁìÖ®Ò»¾ÙÐÐÄ¥Á·£º

¡ª¡ª°´GB/T 1 5 487Ä¥Á·¿ÕÆøÑ¹Ëõ»úµÄÈÝ»ýÁ÷Á¿£»£»£»£»£»£»

¡ª¡ª½ÓÄÉ´¢Æø¹Þ³äÌî·¨£¨·ç°ü·¨£©ÕÉÁ¿¿ÕÆøÑ¹Ëõ»úµÄÈÝ»ýÁ÷Á¿£»£»£»£»£»£»

¡ª¡ª½ÓÄÉÁ÷Á¿·¨ÕÉÁ¿¿ÕÆøÑ¹Ëõ»úµÄÈÝ»ýÁ÷Á¿¡£¡£¡£¡£¡£¡£¡£¡£

2¡¢´¢Æø¹Þ³äÌî·¨£¨·ç°ü·¨£©ÕÉÁ¿¿ÕÆøÑ¹Ëõ»úµÄÈÝ»ýÁ÷Á¿

2.1 ÓóäË®·¨»òÖ±½ÓÕÉÁ¿µÄÒªÁìÕÉÁ¿´¢Æø¹Þ£¨·ç°ü£©¼°ÏàÁ¬¹Ü·µÄÈÝ»ýV¡£¡£¡£¡£¡£¡£¡£¡£

2. 2 ÇжÏËùÓÐÓÃÆø×°±¸,ÔÚ´¢Æø¹ÞÉÏ×°ÖÃѹÁ¦ÕÉÁ¿ÒÇÆ÷¼°Á½Ö§µãμÆÕÉÁ¿´¢Æø¹ÞÄÚÆøÌåѹÁ¦ºÍ ζÈ£¬ £¬£¬£¬£¬£¬£¬£¬²âÊÔǰҪ¼ì²éÇå¾²·§µÄÊÂÇéÇéÐΣ¬ £¬£¬£¬£¬£¬£¬£¬²¢¼ì²é¹ÜµÀºÍÈÝÆ÷ÊÇ·ñÂ©Æø¡£¡£¡£¡£¡£¡£¡£¡£

2.3 ´¢Æø¹Þ³äÌî·¨£¨·ç°ü·¨£©ÕÉÁ¿¿ÕÆøÑ¹Ëõ»úµÄÈÝ»ýÁ÷Á¿ÕÉÁ¿ÏµÍ³µÄ°²ÅÅʾÒâͼÈçͼ1Ëùʾ# ÕÉÁ¿Ê±£¬ £¬£¬£¬£¬£¬£¬£¬°Ñ´¢Æø¹ÞÄÚµÄÊ£ÓàÆøÌå¼°ÓÍ¡¢Ë®·Å¾»£¬ £¬£¬£¬£¬£¬£¬£¬È»ºó¹Ø±ÕÕ¢ÃÅ3,¿ª¶¯¿ÕÆøÑ¹Ëõ»ú#µ±´¢Æø¹ÞÖÐ¿ÕÆøÑ¹ Á¦ÉýÖÁ0.2 MPa?0.3 MPaʱ£¬ £¬£¬£¬£¬£¬£¬£¬×îÏÈÓÃÃë±í¼ÆÊ±£¬ £¬£¬£¬£¬£¬£¬£¬Í¬Ê±¼Í¼´¢Æø¹ÞÖÐÆøÌåµÄѹÁ¦P1ζÈT1£¬ £¬£¬£¬£¬£¬£¬£¬µ±´¢Æø¹ÞÆøÌåµÖ´ï²âÊÔѹÁ¦P2ʱ£¬ £¬£¬£¬£¬£¬£¬£¬Á¬Ã¦×èÖ¹Ãë±íºÍ¿ÕÆøÑ¹Ëõ»ú£¬ £¬£¬£¬£¬£¬£¬£¬²¢Ñ¸ËÙ¼ÇÏÂѹÁ¦ÓÉP1ÉýÖÁP2εÄʱ¼ät¡£¡£¡£¡£¡£¡£¡£¡£

2.4¿ÕÆøÑ¹Ëõ»úÈÝ»ýÁ÷Á¿µÄÅÌËãÒªÁìÈçÏ£º

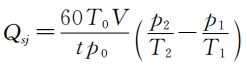
a£©ÏÖʵÈÝ»ýÁ÷Á¿Qsj:

  y80000ÓÀÀû¹ÙÍø.............................£¨1£©

ʽÖУº

QSJ¡ª¡ªÏÖʵÈÝ»ýÁ÷Á¿£¨m3/min£©£»£»£»£»£»£»

V ¡ª¡ª´¢Æø¹ÞÈÝ»ý£¨°üÀ¨Õ¢ÃÅ3ÒÔǰÅÅÆø¹ÜÄÚµÄÈÝ»ý£©£¨m3£©£»£»£»£»£»£»

p1¡¢T1 ¡ª¡ª²âÊÔ×îÏÈʱ£¬ £¬£¬£¬£¬£¬£¬£¬·ç°üÄڵľø¶ÔѹÁ¦£¨Pa£©ºÍ¾ø¶Ôζȣ¨K£©£»£»£»£»£»£»

P2¡¢T2¡ª¡ª²âÊÔ¿¢ÊÂʱ£¬ £¬£¬£¬£¬£¬£¬£¬·ç°üÄڵľø¶ÔѹÁ¦£¨Pa£©ºÍ¾ø¶Ôζȣ¨K£©£»£»£»£»£»£»

P0¡¢T0¡ª¡ª¿ÕÆøÑ¹Ëõ»úÎüÆø×´Ì¬ÏÂ¿ÕÆøµÄѹÁ¦£¨Pa£©ºÍ¾ø¶Ôζȣ¨K£©£»£»£»£»£»£»

t¡ª¡ª²âÊÔ×îÏȵ½²âÊÔ¿¢ÊÂʱµÄ³äÆøÊ±¼ä£¨s£©¡£¡£¡£¡£¡£¡£¡£¡£

b£©±ê׼״̬ϵÄÈÝ»ýÁ÷Á¿Q£º

y80000ÓÀÀû¹ÙÍø........................................£¨2£©

ʽÖУº

T20    ¡ª¡ª±ê׼״̬ϵľø¶ÔζÈ£¬ £¬£¬£¬£¬£¬£¬£¬T20=293K£»£»£»£»£»£»

p     ¡ª¡ª±ê×¼´óÆøÑ¹,p = 1.0133¡Á105 Pa£»£»£»£»£»£»

p0¡¢T0 ¡ª¡ª¿ÕÆøÑ¹Ëõ»úÎüÆø×´Ì¬ÏÂ¿ÕÆøµÄѹÁ¦£¨Pa£©ºÍ¾ø¶Ôζȣ¨K£©¡£¡£¡£¡£¡£¡£¡£¡£

3¡¢Á÷Á¿·¨ÕÉÁ¿¿ÕÆøÑ¹Ëõ»úµÄÈÝ»ýÁ÷Á¿

3.1 Á÷Á¿·¨Ä¥Á·µÄÌõ¼þ

½ÓÄÉÁ÷Á¿·¨ÕÉÁ¿¿ÕÆøÑ¹Ëõ»úµÄÈÝ»ýÁ÷Á¿Ê±£¬ £¬£¬£¬£¬£¬£¬£¬Ó¦ÇкÏÏÂÁÐÌõ¼þ£º

a£©±»¼ì²âµÄ¿ÕÆøÑ¹Ëõ»úµÄ¸÷ÃÜ·â´¦Ó¦ÎÞ×ß©£»£»£»£»£»£»

b£©µ÷½âѹÁ¦µ÷ÀíÆ÷£¬ £¬£¬£¬£¬£¬£¬£¬½«¿ÕÆøÑ¹Ëõ»úÄ©¼¶µÄÅÅÆøÑ¹Á¦µ÷½âµ½¶î¶¨Öµ£¬ £¬£¬£¬£¬£¬£¬£¬ÔÙ²âÊԶ¹¤¿öϵÄÓйØÊý¾Ý£»£»£»£»£»£»

c£©¹ÜµÀÖ±¾¶ÓëÕÉÁ¿´«¸ÐÆ÷Ö±¾¶Ö®±È²»Ð¡ÓÚ10;

d£©ÕÉÁ¿µãλÖÃӦѡÔÚÀë½øÆø¿Ú 5±¶¹Ü¾¶ÒÔÉϵÄÖ±Ï߶Σ»£»£»£»£»£»

e£©ÕÉÁ¿´«¸ÐÆ÷²åÈëÉî¶ÈԼΪ2/3°ë¾¶¾ÙÐÐÕÉÁ¿£»£»£»£»£»£»

f£©ÕÉÁ¿ÒÇÆ÷µÄ׼ȷ¶ÈÓ¦µÖ´ïÏÂÁÐÒªÇó£º

¡ª¡ª·çËÙ²»ÁÓÓÚ¡À2.5% £»£»£»£»£»£»

¡ª¡ªÎ¶Ȳ»ÁÓÓÚ¡À1¡æ £»£»£»£»£»£»

¡ª¡ªÑ¹Á¦½ÓÄɲ»ÁÓÓÚÊ¿2.5%µÄÒºÌåѹÁ¦¼ÆÀàÕÉÁ¿ÒÇÆ÷»ò²»ÁÓÓÚ3%µÄÆäËûרÓÃÒÇÆ÷

¡ª¡ª³¤¶ÈÕÉÁ¿Óþ߲»ÁÓÓÚ¡À1mm¡£¡£¡£¡£¡£¡£¡£¡£

g£©Ä¥Á·Ê±£¬ £¬£¬£¬£¬£¬£¬£¬Ó¦Í¬Ê±¼Í¼ÏÂÁвÎÊý£º

¡ª¡ª¿ÕÆøÑ¹Ëõ»ú½øÆøÕÉÁ¿µã¹ÜµÀÄڵķçËÙ¡¢Î¶ȺÍѹÁ¦²ÎÊý£»£»£»£»£»£»

¡ª¡ª»îÈûʽ¿ÕÆøÑ¹Ëõ»úתËÙ£»£»£»£»£»£»

¡ª¡ª¿ÕÆøÑ¹Ëõ»úÈë¿Úζȡ¢Ñ¹Á¦¡£¡£¡£¡£¡£¡£¡£¡£

3.2 ÏÖʵÈÝ»ýÁ÷Á¿Qsj

ÏÖʵÈÝ»ýÁ÷Á¿Ó¦Æ¾Ö¤ÏÂÁÐÒªÁìÕÉÁ¿£º

a£©Ó¦ÖÁÉÙÕÉÁ¿6´Î£¬ £¬£¬£¬£¬£¬£¬£¬Æäƽ¾ùÖµ×÷ΪÏÖʵ·çËÙcµÄÄ¥Á·Ð§¹û£»£»£»£»£»£»

b£©ÏÖʵÈÝ»ýÁ÷Á¿°´Ê½£¨3£©ÅÌË㣺

y80000ÓÀÀû¹ÙÍø ¡¤¡¤¡¤¡¤¡¤¡¤¡¤¡¤¡¤¡¤¡¤¡¤¡¤¡¤¡¤¡¤¡¤¡¤¡¤¡¤¡¤¡¤¡¤¡¤¡¤¡¤¡¤¡¤¡¤¡¤¡¤£¨3£©

ʽÖУº

QSJ£¨ ÏÖʵÈÝ»ýÁ÷Á¿£¨m3/min£©;

d ¡ª¡ªÕÉÁ¿Î»ÖùܵÀÄÚ¾¶£¨m£©£»£»£»£»£»£»

c ¡ª¡ªÕÉÁ¿»ñµÃµÄÏÖʵ·çËÙ£¨m/s£©¡£¡£¡£¡£¡£¡£¡£¡£

c£©±ê׼״̬ϵÄÈÝ»ýÁ÷Á¿Q£º

±ê׼״̬ϵÄÈÝ»ýÁ÷Á¿Q°´Ê½£¨4£©ÅÌË㣺

y80000ÓÀÀû¹ÙÍø¡¤¡¤¡¤¡¤¡¤¡¤¡¤¡¤¡¤¡¤¡¤¡¤¡¤¡¤¡¤¡¤¡¤¡¤¡¤¡¤¡¤¡¤¡¤¡¤¡¤¡¤¡¤¡¤¡¤¡¤¡¤¡¤¡¤£¨4£©

ʽÖУº

Q¡ª¡ª±ê׼״̬ϵÄÈÝ»ýÁ÷Á¿£¨m3/min£©;

P0¡ª¡ªÕÉÁ¿Î»ÖõĽøÆøÑ¹Á¦£¨Pa£©;

T20¡ª¡ª±ê׼״̬ϵľø¶ÔζÈ,T20 =293 K£»£»£»£»£»£»

p¡ª¡ª±ê×¼´óÆøÑ¹,p = 1.0133¡Á105Pa £»£»£»£»£»£»

T0¡ª¡ª½øÓîÁ¿ÕÉÁ¿Î»Öõľø¶Ôζȣ¨K£©£»£»£»£»£»£»

Qsj¡ª¡ªÏÖʵÈÝ»ýÁ÷Á¿£¨m3/min£©¡£¡£¡£¡£¡£¡£¡£¡£

5.12 ÊäÈë±È¹¦ÂÊ

1¡¢¿ÕÆøÑ¹Ëõ»úµÄÊäÈ빦ÂÊÓ¦½ÓÄÉÕÉÁ¿ÏµÍ³×¼È·¶È²»ÁÓÓÚ¡À2%µÄÒÇÆ÷Ä¥Á·¡£¡£¡£¡£¡£¡£¡£¡£

2¡¢Ó¦ÔÚ¿ÕÆøÑ¹Ëõ»úÔËתƽÎÈʱ¾ÙÐÐÄ¥Á·£¬ £¬£¬£¬£¬£¬£¬£¬²¢Ó¦¿¿½ü¿ÕÆøÑ¹Ëõ»úµÄÊäÈë¶Ë¾ÙÐÐÄ¥Á·¡£¡£¡£¡£¡£¡£¡£¡£

3¡¢ÔÚÄ¥Á·Ê±£¬ £¬£¬£¬£¬£¬£¬£¬Ó¦ÒÔÏàµÈµÄʱ¼ä¾àÀë¼Í¼²»ÉÙÓÚ3×飨´Î£©ÕÉÁ¿Öµ£¬ £¬£¬£¬£¬£¬£¬£¬ÅÌËãÆäƽ¾ùÊäÈ빦ÂÊ×÷ΪĥÁ·Ð§¹û¡£¡£¡£¡£¡£¡£¡£¡£

4¡¢°´Ê½£¨5£©ÅÌËãÊäÈë±È¹¦ÂÊ+£º

y80000ÓÀÀû¹ÙÍø¡¤¡¤¡¤¡¤¡¤¡¤¡¤¡¤¡¤¡¤¡¤¡¤¡¤¡¤¡¤¡¤¡¤¡¤¡¤¡¤¡¤¡¤¡¤¡¤¡¤¡¤¡¤¡¤¡¤¡¤¡¤¡¤¡¤¡¤¡¤¡¤¡¤¡¤¡¤¡¤¡¤¡¤¡¤¡¤¡¤¡¤¡¤¡¤¡¤¡¤¡¤¡¤¡¤¡¤¡¤¡¤¡¤¡¤¡¤¡¤¡¤¡¤¡¤¡¤¡¤£¨ 5£©

ʽÖУº

q ¡ª¡ªÊäÈë±È¹¦ÂÊ£ÛkW/£¨m3/min£©£Ý£»£»£»£»£»£»

P ¡ª¡ª¿ÕÆøÑ¹Ëõ»ú×éµÄÊäÈ빦ÂÊ£¨kW£©£»£»£»£»£»£»

Q ¡ª¡ª¿ÕÆøÑ¹Ëõ»úÏÖʵÈÝ»ýÁ÷Á¿£¨m3/min£©¡£¡£¡£¡£¡£¡£¡£¡£

5.13ÊäÈëµçÁ÷

1¡¢ÕÉÁ¿ÒÇÆ÷µÄ׼ȷ¶ÈÓ¦²»ÁÓÓÚÊ¿2% #

2¡¢Ó¦¿¿½üµçÄîÍ·Åäµç×°ÖõĽøÏß´¦¾ÙÐÐÕÉÁ¿#

3¡¢ÔÚÄ¥Á·Ê±£¬ £¬£¬£¬£¬£¬£¬£¬Ó¦ÒÔÏàµÈµÄʱ¼ä¾àÀë¼Í¼²»ÉÙÓÚ3´ÎÕÉÁ¿Öµ£¬ £¬£¬£¬£¬£¬£¬£¬ÅÌËãÆäƽ¾ùÊäÈëµçÁ÷Öµ×÷ΪĥÁ·Ð§¹û¡£¡£¡£¡£¡£¡£¡£¡£

6 ÅжϹæÔò

1¡¢Ä¥Á·ºÍÅжϻú¹¹

Ó¦Óɾ߱¸¹ú¼Ò»®¶¨×ÊÖÊÌõ¼þµÄ¼ì²âÄ¥Á·»ú¹¹¾ÙÐÐÄ¥Á·ºÍÅжϡ£¡£¡£¡£¡£¡£¡£¡£

2¡¢×ÛºÏÅжÏÔ­Ôò

2.1Ä¥Á·ÏîÄ¿·ÖΪAÀàÏîÄ¿£¨Òªº¦Ï¡¢BÀàÏîÄ¿£¨Ö÷ÒªÏºÍCÀàÏîÄ¿£¨Ò»Ñùƽ³£Ï3ÖÖÀàÐÍ£¬ £¬£¬£¬£¬£¬£¬£¬Ïêϸ»®·Ö¼ûÏîÄ¿±í1¡£¡£¡£¡£¡£¡£¡£¡£

2.2·ºÆðÒÔÏÂÇéÐÎ֮һʱ£¬ £¬£¬£¬£¬£¬£¬£¬Ä¥Á·½áÂÛ×ÛºÏÅжÏΪȱ·¦¸ñ£º

AÀàÏîÄ¿ÖУ¬ £¬£¬£¬£¬£¬£¬£¬·ºÆð1Ïî»ò1ÏîÒÔÉÏȱ·¦¸ñ£»£»£»£»£»£»

BÀàÏîÄ¿ÖУ¬ £¬£¬£¬£¬£¬£¬£¬·ºÆð4Ïî»ò4ÏîÒÔÉÏȱ·¦¸ñ£»£»£»£»£»£»

CÀàÏîÄ¿ÖУ¬ £¬£¬£¬£¬£¬£¬£¬·ºÆð7Ïî»ò7ÏîÒÔÉÏȱ·¦¸ñ£»£»£»£»£»£»

BÀàÏîÄ¿ºÍCÀàÏîÄ¿µÄȱ·¦¸ñÏîÊýÖ®ºÍ´óÓÚ»ò¼´ÊÇ7Ïî¡£¡£¡£¡£¡£¡£¡£¡£

7  ±à·¢±¨¸æ

7.1  ±àд±¨¸æÓ¦³Ö¿Í¹Û¡¢¹«Õý¡¢ÊµÊÂÇóÊǵÄÔ­Ôò¡£¡£¡£¡£¡£¡£¡£¡£

7.2  ±¨¸æµÄÄÚÈÝ

7.2.1  Ä¥Á·±¨¸æµÄÄÚÈݰüÀ¨¾ÙÐмì²âµÄËùÔÚ¡¢ÒÇÆ÷״̬¡¢¼ì²âÒÀ¾Ý¡¢Æ¾Ö¤¼ì²âÊý¾Ý¶øµÃ³öµÄÄ¥Á·½áÂÛ¡£¡£¡£¡£¡£¡£¡£¡£

7.2.2  °´±ê×¼¼ì²â¼°¸ñµÄÒÇÆ÷£¬ £¬£¬£¬£¬£¬£¬£¬·¢¸øÄ¥Á·±¨¸æ£»£»£»£»£»£»È±·¦¸ñµÄÒÇÆ÷·¢¸ø¼ì²âЧ¹û£¬ £¬£¬£¬£¬£¬£¬£¬²¢×¢Ã÷ȱ·¦¸ñÏîÄ¿¡£¡£¡£¡£¡£¡£¡£¡£

7.3  Ä¥Á·±¨¸æ°´±¾¹«Ë¾¡¶Ð§¹û±¨¸æÖÎÀí³ÌÐò¡·Åú×¼¡¢¹éµµ¡¢Ç©Õ¡¢·¢³ö£»£»£»£»£»£»ÌØÊâ×¢ÖØ±¨¸æµÄÅú×¼±ØÐèÓÉÏà¹ØÁìÓòµÄÊÚȨǩ×ÖÈËÇ©×Ö¡£¡£¡£¡£¡£¡£¡£¡£

8  ×¢ÖØÊÂÏî

8.1  Ä¥Á·±¨¸æµÄÌåÀýÈ˺;ÙÐмì²âµÄÖ°Ô±²»¿ÉÓÉͳһÈ˵£µ±¡£¡£¡£¡£¡£¡£¡£¡£

8.2  ±¾¹«Ë¾²»¿ÉÔÚÄ¥Á·±¨¸æÖзºÆð×ÊÖʹæÄ£ÍâµÄÏîÄ¿¡¢²ÎÊý¡£¡£¡£¡£¡£¡£¡£¡£

9  ¼Í¼

9.1  ¡¶¼ì²âÄ¥Á·Î¯ÍÐÌõÔ¼Êé¡·

9.2  ¡¶¿óɽÔÚÓÃÀο¿Ê½¿ÕÆøÑ¹Ëõ»ú¼ì²âԭʼ¼Í¼¡·

9.3  ¡¶Ä¥Á·±¨¸æ·¢·Å¹ÒºÅ±í¡·   

9.4  ¡¶Ä¥Á·±¨¸æ¡·

ʱÏÞ

7Ìì


y80000ÓÀÀûÆåÅÆ(Öйú)ÓÐÏÞ¹«Ë¾¹ÙÍø °æÈ¨ËùÓб¸°¸ºÅ£ºÁÉICP±¸16001656ºÅ-1ÊÖÒÕÖ§³Ö£ºÍøÊƿƼ¼
ÍøÕ¾Ê×Ò³ Ò»¼üµç»°
¡¾ÍøÕ¾µØÍ¼¡¿¡¾sitemap¡¿